To calculate result you have to disable your ad blocker first.
L'hopital's Rule Calculator
To evaluate the indeterminate limits of the form 0/0, input the function, select the variable, enter the side and limit in the input boxes using this L'hopital's rule calculator
L'hopital's Rule Calculator
L’hopital’s rule calculator is used to find the limits of indeterminate functions. This L’hopital’s calculator provides the result of undefined functions in the form of 0/0 or ∞/∞ with steps.Â
What is L’hopital’s rule?
L’hopital’s rule is a theorem of limit used to evaluate the limit of indeterminate forms. The indeterminate forms are expressions of the form of 0/0, 00, 0 x (±∞), ∞ - ∞, 1∞, ∞0, and ∞/∞ after computing limits. Â

Equation of L'hopital's rule
L’hopital’s rule states that if f(x) & g(x) are differentiable functions and d/dx [g(x)] ≠0 on an open interval. If one of the following terms is true.Â

 Then the L’hopital’s rule must be applied

How to evaluate limits using L’hopital’s rule?
Below is a solved example of L’hopital’s rule to evaluate limits.
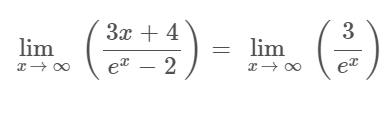
ExampleÂ

SolutionÂ
Step 1: Apply the limit x→∞ to the above expression.
Â
 


 Step 2: Apply L’hopital’s rule as it gives an indeterminate form after applying the limit.
 


 
 
